产品目录
桃色在线视频
液体流量计
桃色成人在线视频
油流量计
桃色视频入口
椭圆齿轮流量计
电磁流量计
涡街流量计
蒸汽流量计
孔板流量计
旋进旋涡流量计
热式气体质量流量计
转子流量计
浮子流量计
靶式流量计
气体流量计
超声波流量计
磁翻板液位计
浮子液位计
浮球液位计
玻璃管液位计
雷达液位计
超声波液位计
投入式液位计
压力变送器
差压变送器
液位变送器
温度变送器
热电偶
热电阻
双金属温度计
推荐产品
联系桃色APP直播软件
- 金湖桃色APP直播软件仪表有限公司
- 联系电话:15195518515
- 在线客服:1464856260
- 电话:0517-86801009
- 传真号码:0517-86801007
- 邮箱:1464856260@qq.com
- 网址:http://www.hdl-enamel.com
- 地址:江苏省金湖县理士大道61号
空调冷冻桃色成人在线视频
发布时间:2020-11-24 05:37:38 点击次数:2298次
空调冷冻桃色成人在线视频概述

空调冷冻桃色成人在线视频工作原理
传感器是根据法拉*电磁感应定律工作的,如工作原理图所示:

当导电液体沿测量管在交变磁场与磁力线成垂直方向运动时,导电液体切割磁力线产生感应电势。在与测量管轴线和磁力线相互垂直的管壁上安装了一对检测电*,将这个感应电势检出。
则有:
E=BVD
式中:E—感应电势;
B—磁感应强度;
D —电*间的距离,与测量管内径相等;
V —测量管内被测流体的平均流速。
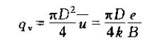
式(1)中磁场B是恒定不变的,D为一常数,则感应电动势E与被测流体的平均流速V成正比。通过测量管横截面上的瞬时体积流量Q与流速V之间的关系为:

空调冷冻桃色成人在线视频特点
1、管道内无可动部件,无阻流部件,测量中几乎没有附加压力损失。
2、测量结果与流速分布、流体压力、温度、密度、粘度等物理参数无关。
3、在现场可根据用户实际需要在线修改量程。
4、高清晰度背光LCD显示,全中文菜单操作,使用方便,操作简单,易学易懂。
5、采用SMD器件和表面贴装(SMT),电路可靠性高。
6、采用16位嵌入式微处理器,运算速度快,精度高,可编程频率低频矩形波励磁,提高了流量测量的稳定性,功耗低。
7、全数字量处理,抗干扰能力强,测量可靠,精度高,流量测量范围可达150:1。
8、超低EMI开关电源,使用电源电压变化范围大,抗EMC好
9、内部具有三个积算器,可分别显示正向累计量、反向累计量及差值积算量,内部设有不掉电时钟,可记录16次掉电时间(选配)。
10、具有RS485、RS232、Hart和Modbus等数字通讯信号输出(选配)。
11、具有自检与自论断功能。
12、红外手持操作器,115KHZ通讯速率,远距离非接触操作转换器所有功能(选配)。
13、小时总量记录功能,以小时为单位记录流量总量,适用于分时计量制(选配)。

空调冷冻桃色成人在线视频选型
正确地选用电磁流量计是保证用好电磁流量计的前提条件。选用什么种类的电磁流量计应根据被测流体介质的物理性质和化学性质来决定,使电磁流量计的通径、流量范围、衬里材料、电*材料和输出电流等,都能适应被测流体的性质和流量的要求。

空调冷冻桃色成人在线视频电*、接地环材料的选择
应根据被测流体的腐蚀性来选择电*的材料,请查有关腐蚀手册,对于特殊流体应作试验。

空调冷冻桃色成人在线视频衬里材料选择说明
应根据被测介质的腐蚀性、磨损性和温度来选择内衬材料。

电磁流量计由传感器和转换器两部分构成。它是基于法拉*电磁感应定律工作的,用来测量电导率大于5μS/cm导电液体的体积流量,是一种测量导电介质体积流量的感应式仪表。除可测量一般导电液体的体积流量外,还可用于测量强酸强碱等强腐蚀液体和泥浆、矿浆、纸浆等均匀的液固两相悬浮液体的体积流量。
广泛应用于石油、化工、冶金、轻纺、造纸、环保、食品等工业部门及市政管理,水利建设、河流疏浚等领域的流量计量。

空调冷冻桃色成人在线视频工作原理
传感器是根据法拉*电磁感应定律工作的,如工作原理图所示:

当导电液体沿测量管在交变磁场与磁力线成垂直方向运动时,导电液体切割磁力线产生感应电势。在与测量管轴线和磁力线相互垂直的管壁上安装了一对检测电*,将这个感应电势检出。
则有:
E=BVD
式中:E—感应电势;
B—磁感应强度;
D —电*间的距离,与测量管内径相等;
V —测量管内被测流体的平均流速。
式(1)中磁场B是恒定不变的,D为一常数,则感应电动势E与被测流体的平均流速V成正比。通过测量管横截面上的瞬时体积流量Q与流速V之间的关系为:

空调冷冻桃色成人在线视频特点
1、管道内无可动部件,无阻流部件,测量中几乎没有附加压力损失。
2、测量结果与流速分布、流体压力、温度、密度、粘度等物理参数无关。
3、在现场可根据用户实际需要在线修改量程。
4、高清晰度背光LCD显示,全中文菜单操作,使用方便,操作简单,易学易懂。
5、采用SMD器件和表面贴装(SMT),电路可靠性高。
6、采用16位嵌入式微处理器,运算速度快,精度高,可编程频率低频矩形波励磁,提高了流量测量的稳定性,功耗低。
7、全数字量处理,抗干扰能力强,测量可靠,精度高,流量测量范围可达150:1。
8、超低EMI开关电源,使用电源电压变化范围大,抗EMC好
9、内部具有三个积算器,可分别显示正向累计量、反向累计量及差值积算量,内部设有不掉电时钟,可记录16次掉电时间(选配)。
10、具有RS485、RS232、Hart和Modbus等数字通讯信号输出(选配)。
11、具有自检与自论断功能。
12、红外手持操作器,115KHZ通讯速率,远距离非接触操作转换器所有功能(选配)。
13、小时总量记录功能,以小时为单位记录流量总量,适用于分时计量制(选配)。

空调冷冻桃色成人在线视频选型
正确地选用电磁流量计是保证用好电磁流量计的前提条件。选用什么种类的电磁流量计应根据被测流体介质的物理性质和化学性质来决定,使电磁流量计的通径、流量范围、衬里材料、电*材料和输出电流等,都能适应被测流体的性质和流量的要求。

空调冷冻桃色成人在线视频电*、接地环材料的选择
应根据被测流体的腐蚀性来选择电*的材料,请查有关腐蚀手册,对于特殊流体应作试验。

空调冷冻桃色成人在线视频衬里材料选择说明
应根据被测介质的腐蚀性、磨损性和温度来选择内衬材料。

上一篇:关于dn40柴油流量计正确的安装步骤下一篇:冷冻桃色成人在线视频量表
相关资讯
- 冷冻桃色成人在线视频怎么使用
- 冷冻桃色成人在线视频安装方式
- 冷冻桃色成人在线视频安装位置
- 空调冷冻桃色成人在线视频安装规范
- 流量测量中优先考虑使用冷冻水管桃色成人在线视频的十个原因
- 冷冻水回桃色成人在线视频
- 空调箱冷冻桃色成人在线视频在航空工业应用领域中的关键作用
- 如何保持螺杆机冷冻水桃色成人在线视频的准确度及维护和保养
- 水管冷冻桃色成人在线视频如何测量实验室条件下质量流量的方法
- 制冷机组的冷冻桃色成人在线视频技术的*新进展对其流量测量的影响
- 如何进行污水处理中的水泵冷冻桃色成人在线视频选型
- 冷冻水回桃色成人在线视频的工作原理特点及故障现象和采取措施
- 冷冻水泵桃色成人在线视频流量测量方法选择及选型
- 冷冻水管桃色成人在线视频在供水行业中的安装及使用状况分析
- 磁场及介质电导率对冷冻水泵桃色成人在线视频测量的影响分析
- 机组冷冻桃色成人在线视频常用的三种类型供电方式有什么不同
- 中央空调冷冻桃色成人在线视频
- 冷冻桃色成人在线视频量表,冷冻水流量表
- 管段冷冻桃色成人在线视频
- 冷冻水管桃色成人在线视频
- 冷冻桃色成人在线视频量表,冷冻盐桃色成人在线视频
- 冷冻桃色成人在线视频量表,空调冷冻桃色成人在线视频
- 冷冻水流量表,空调冷冻桃色成人在线视频
- 冷冻水流量表,冷冻水回桃色成人在线视频
- 冷冻水流量表,冷冻盐桃色成人在线视频
- 冷冻水流量表,冷冻桃色成人在线视频量表
- 冷冻水流量表,中央空调冷冻桃色成人在线视频
- 冷冻桃色成人在线视频量表,冷冻水回桃色成人在线视频
- 冷冻桃色成人在线视频量表
- 空调冷冻桃色成人在线视频

