产品目录
桃色在线视频
液体流量计
桃色成人在线视频
油流量计
桃色视频入口
椭圆齿轮流量计
电磁流量计
涡街流量计
蒸汽流量计
孔板流量计
旋进旋涡流量计
热式气体质量流量计
转子流量计
浮子流量计
靶式流量计
气体流量计
超声波流量计
磁翻板液位计
浮子液位计
浮球液位计
玻璃管液位计
雷达液位计
超声波液位计
投入式液位计
压力变送器
差压变送器
液位变送器
温度变送器
热电偶
热电阻
双金属温度计
推荐产品
联系桃色APP直播软件
- 金湖桃色APP直播软件仪表有限公司
- 联系电话:15195518515
- 在线客服:1464856260
- 电话:0517-86801009
- 传真号码:0517-86801007
- 邮箱:1464856260@qq.com
- 网址:http://www.hdl-enamel.com
- 地址:江苏省金湖县理士大道61号
冷冻桃色成人在线视频量表
发布时间:2020-11-24 05:37:50 点击次数:2250次
冷冻桃色成人在线视频量表概述

冷冻桃色成人在线视频量表工作原理
传感器是根据法拉*电磁感应定律工作的,如工作原理图所示:

当导电液体沿测量管在交变磁场与磁力线成垂直方向运动时,导电液体切割磁力线产生感应电势。在与测量管轴线和磁力线相互垂直的管壁上安装了一对检测电*,将这个感应电势检出。
则有:
E=BVD
式中:E—感应电势;
B—磁感应强度;
D —电*间的距离,与测量管内径相等;
V —测量管内被测流体的平均流速。
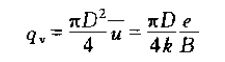
式中磁场B是恒定不变的,D为一常数,则感应电动势E与被测流体的平均流速V成正比。通过测量管横截面上的瞬时体积流量Q与流速V之间的关系为:

冷冻桃色成人在线视频量表特点
1、仪表结构简单、可靠、无可动部件,工作寿命长.
2、无截流阻流部件,不存在压力损失和流体堵塞现象.
3、无机械惯性,响应快速,稳定性好,可应用于自动检测、调节和程控系统.
4、测量精度不受被测介质的种类及其温度、粘度、密度、压力等物理理参数的影响.
5、采用聚四氟乙烯或橡胶材质衬里和HC、HB、316L、Ti 等电*材料的不同组合可适应不同介质的需要.
6、备有管道式、插入式等多种流量计型号.
7、采用EEPROM存贮器,测量运算数据存贮保护安全可靠.
8、具备一体化和分离型两种形式.
9、高清晰LCD背光显示.
冷冻桃色成人在线视频量表技术参数
冷冻桃色成人在线视频量表选型注意事项
选型的*一步就是对仪表将来的运行现场情况要有具体的、详细的、明确的了解,主要包括以下几点:
①测介质成分,以及该介质的电导率 (参见附表2)。电磁流量计既可以测电导率大于5uS/cm液体还可以测液固两相流,如水煤浆,矿浆,污水,泥浆,纸浆等,如被测介质中含有大量的铁磁性固体物质、气泡或直径很大的固体颗粒,测量都会受影响,甚至不能测量。一般情况要求气泡或固体颗粒的体积含量不超过5%,固体颗粒的直径不大于3mm。
②测量管在任何时刻必须完全充满介质,电磁流量计在非满管或空管的情况下不能正常工作。
③现场系统管道的*大压力不能超过仪表的额定压力(见传感器部分)。
④测介质的温度范围以及环境温度范围,要符合仪表说明书的要求。
⑤现场系统管道的*大流速、*小流速,以及正常流速范围。*大流速不超过10m/s;为了保证测量精度,*小流速*好大于等于0.3m/s;正常流速*好在1.5m/s-3.0m/s这**速范围内,这也是仪表*佳测量范围。
传感器选型
传感器的选型主要考虑因素有:传感器的种类、口径、压力、电*材料、内衬材料、防护等级、尺寸大小、连接法兰等。
①口径的选择:如果是新建的项目或设计,在选择口径时,应遵循的原则就是:保证正常流速在0.3m/s---10m/s范围内即可,*优选择是正常流量在下面的《口径、流速、流量的关系表》的斜体红色数值范围内。当然,新工程刚上马,系统流速处于较低状态,随着系统的正常运行,流速会处于较高状态,这时只要更改现场仪表的量程就能适应,不需要更换仪表。如果现场流速过低,而且现场条件允许的话,可以通过在传感器的前后加装变径管,以满足要求,
冷冻桃色成人在线视频量表电*材料的选择
针对不同的被测介质,考虑到其腐蚀性不同,应选择不同的电*材料,下表是常用电*和其耐腐性能,详见附表1。

冷冻桃色成人在线视频量表内衬材料的选择
如电*一样,对于不同的介质,由于其腐蚀性、温度、磨损性不同,所以要有针对性的选择内衬材料,下表是常用衬里材料的性能及其适用范围,详见附表1

冷冻桃色成人在线视频量表安装点及安装环境的选取
①选取要点:
系统正常运行时测量管必须保证满管。如出现非满管,流量计就不能正常工作,读数可能是忽大忽小的随机数;
传感器上游要有一定的直管段,但其长度与其它流量仪表(如超声波流量计)相比较要求较低。上游如有90°弯头、T形管、同心异径管、全开闸阀等扰流件,一般要求离电*中心线(不是传感器进口断面)有5倍直径(5D)长度的直管段,如是上游有闸阀且没有全部打开,一般要求10D长度的直管段;下游直管段长度一般为2D-3D,或更短;
1.安装传感器时尽量保持电*水平位置,以免气泡覆盖电*而出现读数不稳;条件允许传感器应安在自下而上流动的立管上,这样管内不易存气,同时保证工作时是满管,而且无沉积物生成,还可以减少液体内固体颗粒及杂质对内衬的磨损;
2.注意管道液体流动方向与传感器的标识一致;
3.尽可能避免测量管出现负压,如传感器不可安装在泵的抽吸侧;
4.尽可能避开附近的大电机、大变压器等,以免引起电磁干扰;
5.选择振动较小的位置安装传感器;
6.测量不同液体的混合介质时,传感器应安装在混合点的上游,如安装在下游,必须装在混合已经均匀或化学反应充分完成段;
7.尽可能避开周围环境高浓度腐蚀性气体;如是一体机要避免雨淋或浸没以及阳光直照,环境的相对湿度和温度要符合仪表说明书的要求;
②现场传感器安装位置的典型案例

图1:为了日后系统及流量计的检修维护方便,条件允许应如此图安装旁通管道;
图2:安在泵的抽吸侧,会因管道出现负压而损坏传感器内衬,所以应安装在泵出口侧 处,而且N点距离泵尽可能远些;
图3:流量计应尽可能安装在阀门的上游侧处,不应安装在下游侧处, 如受现场条件限制必须安装在d点,在阀门未全开时,d点距离阀门至少10D。
图4:此图中的e处、f处是优先选择安装点, g处是管道*高点易积聚气泡不宜安装,h处于下降管段,可能出现非满管情况,故更不宜安装。
图5:水平管道应安装在稍稍上升的管道区,如图i处;
图6:当流量计安装在如图示的落差管上时,如落差高度超过5米时,应在流量计的下游的*高处,如图j 处,安装排气阀;
图7:当敞口灌入或排放,流量计应安装在管道的低段区,如图k处。
③接地
本公司生产的管段式传感器均是三电*式,其中底部的电*是接液电*,也就是通常说的接地电*,这样在非金属绝缘管道或有绝缘内衬的金属管道上安装传感器时,一般情况下无需另加接地环。
出厂时仪表配2根接地线,安装时要求在与仪表两端连接的法兰上各钻一个M5×10的螺孔,把接地线用M5×8不锈钢螺丝牢靠固定在两边法兰上。如下图示。
通常情况下无需单独外加接地线,但传感器上有预留的接地点,以备在特殊环境下如安装环境有较大干扰时,通过该处外加接地线保证整个仪表可靠、良好接地以减少干扰,接地线可采用截面大于4mm2 的多股铜线,接地电阻应小于10Ω,且不能接在电机、变频器或其它大电器设备的公共地线上,如下图示。
电磁流量计是20世纪50~60年代研发出来的流量测量仪表,其流量测量水平随着电子技术的发展而不断提高。近年来电磁流量计在我国迅速发展,仅电磁流量计的生产厂家,据不完全统计,国内已有100家左右,很多国外知名电磁流量计生产企业也纷纷落户中国。
目前电磁流量计已广泛地被使用于工业过程中各种导电液体的流量测量,如各种酸、碱、盐等腐蚀性介质,各种浆液流量测量,特别是由于其独特的优点,大口径电磁流量计被应用于如城市自来水供应、污水排放等关系到国计民生、贸易结算的流量计量领域,其在国民经济中发挥着越来越重要的作用。

冷冻桃色成人在线视频量表工作原理
传感器是根据法拉*电磁感应定律工作的,如工作原理图所示:

当导电液体沿测量管在交变磁场与磁力线成垂直方向运动时,导电液体切割磁力线产生感应电势。在与测量管轴线和磁力线相互垂直的管壁上安装了一对检测电*,将这个感应电势检出。
则有:
E=BVD
式中:E—感应电势;
B—磁感应强度;
D —电*间的距离,与测量管内径相等;
V —测量管内被测流体的平均流速。
式中磁场B是恒定不变的,D为一常数,则感应电动势E与被测流体的平均流速V成正比。通过测量管横截面上的瞬时体积流量Q与流速V之间的关系为:

冷冻桃色成人在线视频量表特点
1、仪表结构简单、可靠、无可动部件,工作寿命长.
2、无截流阻流部件,不存在压力损失和流体堵塞现象.
3、无机械惯性,响应快速,稳定性好,可应用于自动检测、调节和程控系统.
4、测量精度不受被测介质的种类及其温度、粘度、密度、压力等物理理参数的影响.
5、采用聚四氟乙烯或橡胶材质衬里和HC、HB、316L、Ti 等电*材料的不同组合可适应不同介质的需要.
6、备有管道式、插入式等多种流量计型号.
7、采用EEPROM存贮器,测量运算数据存贮保护安全可靠.
8、具备一体化和分离型两种形式.
9、高清晰LCD背光显示.
冷冻桃色成人在线视频量表技术参数
| 适用管径 | DN25~DN2600(DN25以下为非标) (执行标准:JB/T9248-1999) |
| 电*材料 | 316L(不锈钢)、HC(哈氏C)、HB(哈氏B)、Ti(钛)、Ta(钽) |
| 适用介质 | 导电率>5us/cm的液体 |
| 测量范围 | 0.1~10m/s(可扩展到15m/s) |
| 量程上限 | 0.5~10m/s,推荐1~5m/s |
| 精度等级 | 0.3级、0.5级、1.0级(随口径区分) |
| 输出信号 | 4~20mADC,负载≤750Ω;0~3KHz,5V有源,可变脉宽,高端有效频率输出:RS485接口 |
| 工作压力 | 1.0MPa,1.6MPa,4.0MPa,16MPa(特殊) |
| 流体温度 | -20℃~80℃,80℃~130℃,130℃~180℃ 参考衬里材质 |
| 环境温度 | 传感器-40℃~80℃;转换器-15℃~50℃ |
| 环境温度 | ≤85%RH(20℃时) |
| 电缆出口尺寸 | M20×1.5 |
| 供电电源 | 220VAC±10%;50Hz±1Hz;24VDC±10% |
| 功 耗 | ≤8W |
| 外壳防护等级 | 一体式:IP65分体式:传感器IP68转换器IP65 |
| 接地环材质 | 1Cr18Ni9Ti(不锈钢)、HC(哈氏C)、Ti(钛)、Ta(钽)、Cu(铜) |
| 连接法兰 | 国标GB9119-88(DIN2051,BS4504) |
冷冻桃色成人在线视频量表选型注意事项
选型的*一步就是对仪表将来的运行现场情况要有具体的、详细的、明确的了解,主要包括以下几点:
①测介质成分,以及该介质的电导率 (参见附表2)。电磁流量计既可以测电导率大于5uS/cm液体还可以测液固两相流,如水煤浆,矿浆,污水,泥浆,纸浆等,如被测介质中含有大量的铁磁性固体物质、气泡或直径很大的固体颗粒,测量都会受影响,甚至不能测量。一般情况要求气泡或固体颗粒的体积含量不超过5%,固体颗粒的直径不大于3mm。
②测量管在任何时刻必须完全充满介质,电磁流量计在非满管或空管的情况下不能正常工作。
③现场系统管道的*大压力不能超过仪表的额定压力(见传感器部分)。
④测介质的温度范围以及环境温度范围,要符合仪表说明书的要求。
⑤现场系统管道的*大流速、*小流速,以及正常流速范围。*大流速不超过10m/s;为了保证测量精度,*小流速*好大于等于0.3m/s;正常流速*好在1.5m/s-3.0m/s这**速范围内,这也是仪表*佳测量范围。
传感器选型
传感器的选型主要考虑因素有:传感器的种类、口径、压力、电*材料、内衬材料、防护等级、尺寸大小、连接法兰等。
①口径的选择:如果是新建的项目或设计,在选择口径时,应遵循的原则就是:保证正常流速在0.3m/s---10m/s范围内即可,*优选择是正常流量在下面的《口径、流速、流量的关系表》的斜体红色数值范围内。当然,新工程刚上马,系统流速处于较低状态,随着系统的正常运行,流速会处于较高状态,这时只要更改现场仪表的量程就能适应,不需要更换仪表。如果现场流速过低,而且现场条件允许的话,可以通过在传感器的前后加装变径管,以满足要求,
冷冻桃色成人在线视频量表电*材料的选择
针对不同的被测介质,考虑到其腐蚀性不同,应选择不同的电*材料,下表是常用电*和其耐腐性能,详见附表1。

冷冻桃色成人在线视频量表内衬材料的选择
如电*一样,对于不同的介质,由于其腐蚀性、温度、磨损性不同,所以要有针对性的选择内衬材料,下表是常用衬里材料的性能及其适用范围,详见附表1

冷冻桃色成人在线视频量表安装点及安装环境的选取
①选取要点:
系统正常运行时测量管必须保证满管。如出现非满管,流量计就不能正常工作,读数可能是忽大忽小的随机数;
传感器上游要有一定的直管段,但其长度与其它流量仪表(如超声波流量计)相比较要求较低。上游如有90°弯头、T形管、同心异径管、全开闸阀等扰流件,一般要求离电*中心线(不是传感器进口断面)有5倍直径(5D)长度的直管段,如是上游有闸阀且没有全部打开,一般要求10D长度的直管段;下游直管段长度一般为2D-3D,或更短;
1.安装传感器时尽量保持电*水平位置,以免气泡覆盖电*而出现读数不稳;条件允许传感器应安在自下而上流动的立管上,这样管内不易存气,同时保证工作时是满管,而且无沉积物生成,还可以减少液体内固体颗粒及杂质对内衬的磨损;
2.注意管道液体流动方向与传感器的标识一致;
3.尽可能避免测量管出现负压,如传感器不可安装在泵的抽吸侧;
4.尽可能避开附近的大电机、大变压器等,以免引起电磁干扰;
5.选择振动较小的位置安装传感器;
6.测量不同液体的混合介质时,传感器应安装在混合点的上游,如安装在下游,必须装在混合已经均匀或化学反应充分完成段;
7.尽可能避开周围环境高浓度腐蚀性气体;如是一体机要避免雨淋或浸没以及阳光直照,环境的相对湿度和温度要符合仪表说明书的要求;
②现场传感器安装位置的典型案例

图1:为了日后系统及流量计的检修维护方便,条件允许应如此图安装旁通管道;
图2:安在泵的抽吸侧,会因管道出现负压而损坏传感器内衬,所以应安装在泵出口侧 处,而且N点距离泵尽可能远些;
图3:流量计应尽可能安装在阀门的上游侧处,不应安装在下游侧处, 如受现场条件限制必须安装在d点,在阀门未全开时,d点距离阀门至少10D。
图4:此图中的e处、f处是优先选择安装点, g处是管道*高点易积聚气泡不宜安装,h处于下降管段,可能出现非满管情况,故更不宜安装。
图5:水平管道应安装在稍稍上升的管道区,如图i处;
图6:当流量计安装在如图示的落差管上时,如落差高度超过5米时,应在流量计的下游的*高处,如图j 处,安装排气阀;
图7:当敞口灌入或排放,流量计应安装在管道的低段区,如图k处。
③接地
本公司生产的管段式传感器均是三电*式,其中底部的电*是接液电*,也就是通常说的接地电*,这样在非金属绝缘管道或有绝缘内衬的金属管道上安装传感器时,一般情况下无需另加接地环。
出厂时仪表配2根接地线,安装时要求在与仪表两端连接的法兰上各钻一个M5×10的螺孔,把接地线用M5×8不锈钢螺丝牢靠固定在两边法兰上。如下图示。
通常情况下无需单独外加接地线,但传感器上有预留的接地点,以备在特殊环境下如安装环境有较大干扰时,通过该处外加接地线保证整个仪表可靠、良好接地以减少干扰,接地线可采用截面大于4mm2 的多股铜线,接地电阻应小于10Ω,且不能接在电机、变频器或其它大电器设备的公共地线上,如下图示。
相关资讯
- 冷冻桃色成人在线视频怎么使用
- 冷冻桃色成人在线视频安装方式
- 冷冻桃色成人在线视频安装位置
- 空调冷冻桃色成人在线视频安装规范
- 流量测量中优先考虑使用冷冻水管桃色成人在线视频的十个原因
- 冷冻水回桃色成人在线视频
- 空调箱冷冻桃色成人在线视频在航空工业应用领域中的关键作用
- 如何保持螺杆机冷冻水桃色成人在线视频的准确度及维护和保养
- 水管冷冻桃色成人在线视频如何测量实验室条件下质量流量的方法
- 制冷机组的冷冻桃色成人在线视频技术的*新进展对其流量测量的影响
- 如何进行污水处理中的水泵冷冻桃色成人在线视频选型
- 冷冻水回桃色成人在线视频的工作原理特点及故障现象和采取措施
- 冷冻水泵桃色成人在线视频流量测量方法选择及选型
- 冷冻水管桃色成人在线视频在供水行业中的安装及使用状况分析
- 磁场及介质电导率对冷冻水泵桃色成人在线视频测量的影响分析
- 机组冷冻桃色成人在线视频常用的三种类型供电方式有什么不同
- 中央空调冷冻桃色成人在线视频
- 冷冻桃色成人在线视频量表,冷冻水流量表
- 管段冷冻桃色成人在线视频
- 冷冻水管桃色成人在线视频
- 冷冻桃色成人在线视频量表,冷冻盐桃色成人在线视频
- 冷冻桃色成人在线视频量表,空调冷冻桃色成人在线视频
- 冷冻水流量表,空调冷冻桃色成人在线视频
- 冷冻水流量表,冷冻水回桃色成人在线视频
- 冷冻水流量表,冷冻盐桃色成人在线视频
- 冷冻水流量表,冷冻桃色成人在线视频量表
- 冷冻水流量表,中央空调冷冻桃色成人在线视频
- 冷冻桃色成人在线视频量表,冷冻水回桃色成人在线视频
- 冷冻桃色成人在线视频量表
- 空调冷冻桃色成人在线视频

