产品目录
桃色在线视频
液体流量计
桃色成人在线视频
油流量计
桃色视频入口
椭圆齿轮流量计
电磁流量计
涡街流量计
蒸汽流量计
孔板流量计
旋进旋涡流量计
热式气体质量流量计
转子流量计
浮子流量计
靶式流量计
气体流量计
超声波流量计
磁翻板液位计
浮子液位计
浮球液位计
玻璃管液位计
雷达液位计
超声波液位计
投入式液位计
压力变送器
差压变送器
液位变送器
温度变送器
热电偶
热电阻
双金属温度计
推荐产品
联系桃色APP直播软件
- 金湖桃色APP直播软件仪表有限公司
- 联系电话:15195518515
- 在线客服:1464856260
- 电话:0517-86801009
- 传真号码:0517-86801007
- 邮箱:1464856260@qq.com
- 网址:http://www.hdl-enamel.com
- 地址:江苏省金湖县理士大道61号
关于柴油计量表的理论模型及实验结果与分析
发布时间:2021-01-09 16:43:28 点击次数:2204次
摘要:应用粒子成像测速技术获得了柴油计量表叶片入口流场的速度分布信息,并基于该测量结果,运用T-G模型理论得出流量计的响应。通过与以往所采用的几种典型的入口速度分布计算得到的结果比较分析表明,基于PIV测量的结果更接近于柴油计量表的真实响应。还比较分析了涡轮入口速度分布对柴油计量表响应的影响机理,相关结果可望为改进柴油计量表响应的计算分析方法以及优化设计提供有价值的参考。
1引言
柴油计量表作为一种速度式仪表,因其具有诸多优点被广泛应用到工业生产以及实际生活中。在柴油计量表的实际使用中,一般需要结合流量计本身的响应曲线来计算被测管流的实际流量。获得柴油计量表响应曲线的方法主要有2种,一是通过标准流量平台标定,二是通过理论模型计算获得其响应。其中标定方法在实际生产中应用更广泛,不过特定的标定曲线往往仅适用于某些单一工况下的响应,局限性较大。因此通过对柴油计量表理论模型的探索和改进从而更准确地预测流量计的响应曲线具有重要意义。
1970年,Thompson和Grey基于叶栅理论和不可压缩势流提出了较为系统的计算柴油计量表响应的理论模型(以下简称TG模型)。该模型可以将速度入口信息以及柴油计量表各部件的几何和运动参数均纳入考虑,因而被此后的研究广泛采用。流量测量设备的内流场对其响应有着重要影响,目前部分研究采用数值模拟手段对其进行计算进而分析仪表的响应情况。对于涡轮内流场的实际流动情况Xu采用了激光多普勒(LDA)技术对口径100mm的柴油计量表轮毂与管壁间的12个不同位置的速度进行了测量并代入理论模型进行计算,理论计算结果与实验结果比较吻合。
以上研究都表明,获得准确的柴油计量表入口速度分布,结合TG模型可大大提高计算的准确性。由于实际涡轮上游情况比较复杂,不同的导流叶片、轮毂前缘设计等因素都对入口速度分布有着重要的影响,因而实际的涡轮入口速度分布,并非均匀分布或充分发展的环空分布,难以通过简单的黏性流理论获得通用的速度分布计算方法。因而采用实验的手段,获得能够反映切合实际的涡轮入口速度分布具有重要的应用价值。纵观以往的研究,对于入口速度分布的获得,多是采用理论计算或是数值模拟的方法,仅有Xu采用了LDA技术观察了涡轮环空的速度分布。LDA技术虽然计量精确,但其多光束汇聚和单点测量的性质决定了它测点较少,难以同时获得全流场信息的缺陷,因而其仅能用于口径较大的柴油计量表流场测量。随着粒子图像测速(PIV)技术的发展,其瞬时获得全场信息的能力也被应用到流量测量的研究中,也可以用于柴油计量表叶轮轮毂与管壁的研究中。基于以上考虑,本文应用粒子成像测速技术(PIV)来获得流场的流速信息,以便通过更准确和全面的入口速度分布进而对流量计的响应获得认识上的深入。
2柴油计量表理论模型
在柴油计量表处于稳定响应的状态下,角加速度为零,此时作用在叶轮上的各力矩(见图1)需满足力矩平衡方程:
Td-Th-Tt-Tw-Tb-Tm=0(1)
式中:Td为叶片驱动力矩;Th为轮毂周边黏性阻力矩;Tt为叶片顶隙黏性阻力矩;Tw为轮毂端面黏性阻力矩;Tb为轴承黏性阻力矩;Tm为轴与轴尖机械阻力矩

涡轮转速ω为所求的量。获得各不同力矩,通过求解力矩平衡方程可得对应工况的涡轮转速ω。
下面分别对各力矩计算方法进行介绍。
2.1叶片驱动力矩
本文采用的理论模型叶片驱动力矩类似Xu文章中的处理方法,模型假设在叶轮轮毂和管道内壁之间的环空空间内不存在沿半径方向的流动,因而可以将三维的涡轮叶片离散成有限个二维叶栅计算不同叶栅上叶片的受力。针对半径为r处的叶栅,可计算其所受的驱动力系数Cdr(见图1):
Cdr=Clcosβ-Cdsinβ(2)
式中:Cl和Cd为叶栅的升力系数和阻力系数,二者可通过不可压缩势流的方法计算,与叶片翼型、叶轮转速、来流速度和半径位置等参数相关。
通过对轮毂半径Rh到叶顶半径Rt的驱动力矩进行积分可以获得作用在整个叶片上的驱动力矩Tdr(不含黏性影响):

式中:ρ为流体密度;N为叶片数量;C为叶片弦长;Ur(r)为叶栅处速度,与叶栅位置相关,在本文中通过PIV测量结果插值获得。
实际流动中受黏性影响,流体还会在叶栅表面产生黏性力,采用黏性流体力学中二维渠道流平板黏性力的计算方法计算黏性阻力Fv

式中:t为叶栅栅距,ν为流体的运动黏性系数。
由叶栅黏性阻力Fv可求得叶片整体所受黏性阻力矩Tv:

进而可以获得叶片上所受的整体驱动力矩Td:
Td=Tdr-Tv(7)
2.2轮毂周面黏性阻力矩
本文理论模型中轮毂周面黏性阻力矩由2部分构成:叶片部分轮毂和叶片上游轮毂。
依据Tsukamoto的计算,叶片部分轮毂黏性阻力矩Thb的计算式为:

式中:Bt为叶片厚度。
2.4轮毂端面黏性阻力矩
依据Tsukamoto的计算,轮毂端面黏性阻力矩Tw的计算式为:

2.5轴承黏性阻力矩和机械摩擦阻力矩
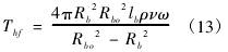
根据同轴圆筒黏性阻力矩计算方法可得轴承黏性阻力矩Tb

式中:Rb和Rbo分别为轴和轴承半径,lb为轴的等效长度。
机械摩擦阻力矩基本不受转速影响可设置为定值,本文中涡轮机械摩擦阻力矩取为5×10-7N·m。
2.6理论模型综合分析
当涡轮进入线性响应区间后,起主要作用的是叶片驱动力矩和叶片顶隙阻力矩之间的平衡,其他各阻力矩相对较小。叶片顶隙阻力矩与涡轮轨速矩近似成正比关系,驱动力矩则主要受入口速度分布Ur(r)影响,获得准确的入口速度分布可以使理论模型的计算结果与实际更为符合,传统的理论模型中入口速度分布多采用均匀分布假设(即各不同半径入口速度相等)或充分发展的环空空间速度分布,本文则通过PIV技术测量了实验使用涡轮的入口速度分布并代入理论模型进行计算。
3实验系统
实验在中国科大水平循环水实验平台上进行,实验采用20mm口径的柴油计量表,量程范围是1~80方/天,其中较好线性段范围是5~50方/天,流量计涡轮为等重叠度涡轮(不同半径位置叶栅重叠度相同),具体参数如表1所示,这种流量计在大庆油田的生产测井中广泛应用,其结构如图2(a)所示。来流经过一段导流叶片整流后进入涡轮的环空空间,驱动叶轮转动,输出响应信号。在柴油计量表的线性响应区间中,处于稳定转动时涡轮叶片对流体的干扰较少,相对来流攻角较小,对流体的轴向速度分布基本没有影响,仅会稍稍增加其周向转速。因而为了测量柴油计量表入口速度分布,特别制作了各参数与实际涡轮相同但并无叶片的透明外壳轮毂模型,如图2(b)所示,通过PIV手段,对管道中轴面上轮毂和管壁之间的区域的轴向速度分布进行剖面测量。轮毂模型安装在待测柴油计量表的上游,相距超过2m以保证二者之间无相互干扰。实验流速范围在5~25方/天,在管路下游采用时间-质量法获得真实流速,通过光学观测获得柴油计量表叶轮的真实转动频率,同时采用PIV技术测量轮毂模型中的速度分布。


本文实验中所使用的PIV系统为作者单位自行研制的PIV系统(见图3(a)),激光器发出的激光依次通过凸透镜聚焦,经柱面镜发散成片光,再通过平面反射镜反射成竖直片光,进入实验观察区。示踪粒子跟随流体流过实验段,由高速摄影记录实验过程,通过相关计算处理得到速度分布结果。其中所用的激光器为可连续发射532mm激光(绿光),发射*大输出功率为2W的半导体激光器。实验采用的相机为每秒可拍摄5000幅的高速摄影。示踪粒子采用的是空心玻璃微球,粒径为20~40μm,密度1.05g/cm3。图像的互相关处理程序由作者所在单位自行在MATLAB软件平台中编写成。
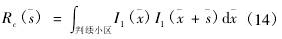
本文进行图像采集的方法均为多帧单曝光,即相继2次曝光的粒子图像分别记录在相继的2幅照片上,因此采取互相关算法进行图像处理。基本原理是用相继2帧粒子图像I1(x珋),I2(x珋)进行相关计算:

Rc(sˉ)的理想空间分布如图3(b)所示,仅有一个明显的级大峰值,其中珋s为判读小区内粒子的平均位移矢量。本文算法采用16×16的矩形像素作为判读小区,对应的空间分辨率为0.35mm×0.35mm,时间分辨率达0.2ms。整个图像在轮毂与管壁之间的速度剖面可取的32个流速点,从而可以较准确地得到其间的速度分布情况。

4实验结果与分析
通过对PIV实验中所拍摄的照片(见图4(a))进行后处理,可以得到各个流量点下轮毂与管壁之间轴截面流场轴向速度分布信息如图4(b)所示。鉴于试验模型的轴对称性,从原理上说该轴截面的速度分布可以推广到周向环形区域。


实验中流量计的涡轮轮毂半径为4mm,而管道内径为10mm,因而速度分布都在这6mm的区间内。通过图像处理可以获得32个不同位置的速度,在此基础上进行插值即可获得整个环空流场的轴向速度分布。图5(a)反映了实验所测得的几个不同工况点的轴向速度分布,从图中可以看出,流速在中间位置较高,由于边界层的影响,在靠近轮毂和管壁附近流速逐渐趋近于零。随着流速的升高,整体速度分布向管壁方向偏移,速度*大值位置半径增大,轮毂表面边界层厚度增加,管壁表面边界层厚度减少。与Xu采用LDA测量的结果相比,本文结果在半径较大处速度较高,二者的不同结果也反映了不同设计的柴油计量表入口速度分布存在差异。相比LDA而言,PIV可以更加全面地获得轮毂与管壁之间的流速分布信息。


将实验中PIV测得的速度分布与同流量下的完全发展的环形通道速度分布以及此流量下的均匀分布进行对比,如图5(b)所示,从中可以看出,用PIV测得的速度分布与完全发展的环形通道速度分布有明显不同。其中前者的峰值比较靠近管道内壁方向,而后者的峰值较靠近轮毂方向。另外,完全发展的环形通道速度分布比用PIV测得的速度分布更加平缓。由于不同位置的流体对涡轮叶片作用效果不同,实际流速中峰值在不同位置对涡轮产生的驱动效果可能会有很大差异,如图5(b)中所示的完全发展速度分布和均匀速度分布都很平缓,不能完全反映实际流动中不同位置的流场信息,计算的结果中自然也就将这些差异对涡轮响应可能产生的特殊贡献有所体现。
分别用3种速度分布作为涡轮入口速度分布求解流量计响应,与实际测得的响应进行对比,如图6(a)所示。从图中可以看出,采用完全发展的环形速度分布和均匀速度分布计算的涡轮响应值明显低于柴油计量表的真实响应。在涡轮正常响应时,在叶片中上部(即靠近管壁部分)的流体驱动涡轮转动,而在叶片底部(即靠近轮毂部分)的流体阻碍涡轮转动,因而流体分布越靠近管壁,带来的驱动力矩越大,使得叶轮的转速越快。从图5(b)中来看,真实速度分布更靠进管壁,应为理论求解结果转速偏低的原因。
分别计算各个响应在不同流量点处与真实响应的相对误差,结果如图6(b)所示。从图中可以明显看出,用PIV获得的速度分布计算的结果与实际响应的相对误差*小,在3%以内;用均匀入口速度分布计算的结果误差*大;用完全发展的环形通道速度分布当雷诺数超过2000时,由于计算模型假设由层流的速度分布直接转变为湍流的速度分布模型,未能合理地反映实际流动中逐步转变的过渡阶段,导致理论结果与实际速度分布有较大差异,所以误差较大。通过这些对比不难看出,获得真实的速度分布能更为准确地计算柴油计量表的实际响应。面对复杂的上游来流条件,PIV结果更能反映柴油计量表内部流动的主要特征,这也从另一个侧面表明,对柴油计量表内部复杂流动的精细测量和深入认识也将是完善相关理论和进一步优化其性能的重要途径。

5结论
本文通过PIV技术观测了柴油计量表入口轴向速度分布并代入TG模型进行计算。结果表明,PIV技术可以作为柴油计量表的入口速度的观测手段。PIV技术代入模型后计算所得的涡轮转速与实际较为吻合,而采用均匀速度入口或是充分发展的环空空间速度分布均与实际存在些许差异,代入模型后所得误差较大,也反映了不同的入口速度分布对流量计响应具有十分重要的影响。
由于柴油计量表入口速度分布受到多种因素的影响,难以完全依赖简单的理论计算,因而PIV技术可以有的放矢地用于柴油计量表的内流场观察,获得真实的流速分布信息,进而改进理论模型的计算和分析,在新一代柴油计量表的研制和完善相关理论中发挥重要的作用。
1引言
柴油计量表作为一种速度式仪表,因其具有诸多优点被广泛应用到工业生产以及实际生活中。在柴油计量表的实际使用中,一般需要结合流量计本身的响应曲线来计算被测管流的实际流量。获得柴油计量表响应曲线的方法主要有2种,一是通过标准流量平台标定,二是通过理论模型计算获得其响应。其中标定方法在实际生产中应用更广泛,不过特定的标定曲线往往仅适用于某些单一工况下的响应,局限性较大。因此通过对柴油计量表理论模型的探索和改进从而更准确地预测流量计的响应曲线具有重要意义。
1970年,Thompson和Grey基于叶栅理论和不可压缩势流提出了较为系统的计算柴油计量表响应的理论模型(以下简称TG模型)。该模型可以将速度入口信息以及柴油计量表各部件的几何和运动参数均纳入考虑,因而被此后的研究广泛采用。流量测量设备的内流场对其响应有着重要影响,目前部分研究采用数值模拟手段对其进行计算进而分析仪表的响应情况。对于涡轮内流场的实际流动情况Xu采用了激光多普勒(LDA)技术对口径100mm的柴油计量表轮毂与管壁间的12个不同位置的速度进行了测量并代入理论模型进行计算,理论计算结果与实验结果比较吻合。
以上研究都表明,获得准确的柴油计量表入口速度分布,结合TG模型可大大提高计算的准确性。由于实际涡轮上游情况比较复杂,不同的导流叶片、轮毂前缘设计等因素都对入口速度分布有着重要的影响,因而实际的涡轮入口速度分布,并非均匀分布或充分发展的环空分布,难以通过简单的黏性流理论获得通用的速度分布计算方法。因而采用实验的手段,获得能够反映切合实际的涡轮入口速度分布具有重要的应用价值。纵观以往的研究,对于入口速度分布的获得,多是采用理论计算或是数值模拟的方法,仅有Xu采用了LDA技术观察了涡轮环空的速度分布。LDA技术虽然计量精确,但其多光束汇聚和单点测量的性质决定了它测点较少,难以同时获得全流场信息的缺陷,因而其仅能用于口径较大的柴油计量表流场测量。随着粒子图像测速(PIV)技术的发展,其瞬时获得全场信息的能力也被应用到流量测量的研究中,也可以用于柴油计量表叶轮轮毂与管壁的研究中。基于以上考虑,本文应用粒子成像测速技术(PIV)来获得流场的流速信息,以便通过更准确和全面的入口速度分布进而对流量计的响应获得认识上的深入。
2柴油计量表理论模型
在柴油计量表处于稳定响应的状态下,角加速度为零,此时作用在叶轮上的各力矩(见图1)需满足力矩平衡方程:
Td-Th-Tt-Tw-Tb-Tm=0(1)
式中:Td为叶片驱动力矩;Th为轮毂周边黏性阻力矩;Tt为叶片顶隙黏性阻力矩;Tw为轮毂端面黏性阻力矩;Tb为轴承黏性阻力矩;Tm为轴与轴尖机械阻力矩

涡轮转速ω为所求的量。获得各不同力矩,通过求解力矩平衡方程可得对应工况的涡轮转速ω。
下面分别对各力矩计算方法进行介绍。
2.1叶片驱动力矩
本文采用的理论模型叶片驱动力矩类似Xu文章中的处理方法,模型假设在叶轮轮毂和管道内壁之间的环空空间内不存在沿半径方向的流动,因而可以将三维的涡轮叶片离散成有限个二维叶栅计算不同叶栅上叶片的受力。针对半径为r处的叶栅,可计算其所受的驱动力系数Cdr(见图1):
Cdr=Clcosβ-Cdsinβ(2)
式中:Cl和Cd为叶栅的升力系数和阻力系数,二者可通过不可压缩势流的方法计算,与叶片翼型、叶轮转速、来流速度和半径位置等参数相关。
通过对轮毂半径Rh到叶顶半径Rt的驱动力矩进行积分可以获得作用在整个叶片上的驱动力矩Tdr(不含黏性影响):

式中:ρ为流体密度;N为叶片数量;C为叶片弦长;Ur(r)为叶栅处速度,与叶栅位置相关,在本文中通过PIV测量结果插值获得。
实际流动中受黏性影响,流体还会在叶栅表面产生黏性力,采用黏性流体力学中二维渠道流平板黏性力的计算方法计算黏性阻力Fv

式中:t为叶栅栅距,ν为流体的运动黏性系数。
由叶栅黏性阻力Fv可求得叶片整体所受黏性阻力矩Tv:

进而可以获得叶片上所受的整体驱动力矩Td:
Td=Tdr-Tv(7)
2.2轮毂周面黏性阻力矩
本文理论模型中轮毂周面黏性阻力矩由2部分构成:叶片部分轮毂和叶片上游轮毂。
依据Tsukamoto的计算,叶片部分轮毂黏性阻力矩Thb的计算式为:

式中:Bt为叶片厚度。
2.4轮毂端面黏性阻力矩
依据Tsukamoto的计算,轮毂端面黏性阻力矩Tw的计算式为:

2.5轴承黏性阻力矩和机械摩擦阻力矩
根据同轴圆筒黏性阻力矩计算方法可得轴承黏性阻力矩Tb

式中:Rb和Rbo分别为轴和轴承半径,lb为轴的等效长度。
机械摩擦阻力矩基本不受转速影响可设置为定值,本文中涡轮机械摩擦阻力矩取为5×10-7N·m。
2.6理论模型综合分析
当涡轮进入线性响应区间后,起主要作用的是叶片驱动力矩和叶片顶隙阻力矩之间的平衡,其他各阻力矩相对较小。叶片顶隙阻力矩与涡轮轨速矩近似成正比关系,驱动力矩则主要受入口速度分布Ur(r)影响,获得准确的入口速度分布可以使理论模型的计算结果与实际更为符合,传统的理论模型中入口速度分布多采用均匀分布假设(即各不同半径入口速度相等)或充分发展的环空空间速度分布,本文则通过PIV技术测量了实验使用涡轮的入口速度分布并代入理论模型进行计算。
3实验系统
实验在中国科大水平循环水实验平台上进行,实验采用20mm口径的柴油计量表,量程范围是1~80方/天,其中较好线性段范围是5~50方/天,流量计涡轮为等重叠度涡轮(不同半径位置叶栅重叠度相同),具体参数如表1所示,这种流量计在大庆油田的生产测井中广泛应用,其结构如图2(a)所示。来流经过一段导流叶片整流后进入涡轮的环空空间,驱动叶轮转动,输出响应信号。在柴油计量表的线性响应区间中,处于稳定转动时涡轮叶片对流体的干扰较少,相对来流攻角较小,对流体的轴向速度分布基本没有影响,仅会稍稍增加其周向转速。因而为了测量柴油计量表入口速度分布,特别制作了各参数与实际涡轮相同但并无叶片的透明外壳轮毂模型,如图2(b)所示,通过PIV手段,对管道中轴面上轮毂和管壁之间的区域的轴向速度分布进行剖面测量。轮毂模型安装在待测柴油计量表的上游,相距超过2m以保证二者之间无相互干扰。实验流速范围在5~25方/天,在管路下游采用时间-质量法获得真实流速,通过光学观测获得柴油计量表叶轮的真实转动频率,同时采用PIV技术测量轮毂模型中的速度分布。


本文实验中所使用的PIV系统为作者单位自行研制的PIV系统(见图3(a)),激光器发出的激光依次通过凸透镜聚焦,经柱面镜发散成片光,再通过平面反射镜反射成竖直片光,进入实验观察区。示踪粒子跟随流体流过实验段,由高速摄影记录实验过程,通过相关计算处理得到速度分布结果。其中所用的激光器为可连续发射532mm激光(绿光),发射*大输出功率为2W的半导体激光器。实验采用的相机为每秒可拍摄5000幅的高速摄影。示踪粒子采用的是空心玻璃微球,粒径为20~40μm,密度1.05g/cm3。图像的互相关处理程序由作者所在单位自行在MATLAB软件平台中编写成。
本文进行图像采集的方法均为多帧单曝光,即相继2次曝光的粒子图像分别记录在相继的2幅照片上,因此采取互相关算法进行图像处理。基本原理是用相继2帧粒子图像I1(x珋),I2(x珋)进行相关计算:

Rc(sˉ)的理想空间分布如图3(b)所示,仅有一个明显的级大峰值,其中珋s为判读小区内粒子的平均位移矢量。本文算法采用16×16的矩形像素作为判读小区,对应的空间分辨率为0.35mm×0.35mm,时间分辨率达0.2ms。整个图像在轮毂与管壁之间的速度剖面可取的32个流速点,从而可以较准确地得到其间的速度分布情况。

4实验结果与分析
通过对PIV实验中所拍摄的照片(见图4(a))进行后处理,可以得到各个流量点下轮毂与管壁之间轴截面流场轴向速度分布信息如图4(b)所示。鉴于试验模型的轴对称性,从原理上说该轴截面的速度分布可以推广到周向环形区域。


实验中流量计的涡轮轮毂半径为4mm,而管道内径为10mm,因而速度分布都在这6mm的区间内。通过图像处理可以获得32个不同位置的速度,在此基础上进行插值即可获得整个环空流场的轴向速度分布。图5(a)反映了实验所测得的几个不同工况点的轴向速度分布,从图中可以看出,流速在中间位置较高,由于边界层的影响,在靠近轮毂和管壁附近流速逐渐趋近于零。随着流速的升高,整体速度分布向管壁方向偏移,速度*大值位置半径增大,轮毂表面边界层厚度增加,管壁表面边界层厚度减少。与Xu采用LDA测量的结果相比,本文结果在半径较大处速度较高,二者的不同结果也反映了不同设计的柴油计量表入口速度分布存在差异。相比LDA而言,PIV可以更加全面地获得轮毂与管壁之间的流速分布信息。


将实验中PIV测得的速度分布与同流量下的完全发展的环形通道速度分布以及此流量下的均匀分布进行对比,如图5(b)所示,从中可以看出,用PIV测得的速度分布与完全发展的环形通道速度分布有明显不同。其中前者的峰值比较靠近管道内壁方向,而后者的峰值较靠近轮毂方向。另外,完全发展的环形通道速度分布比用PIV测得的速度分布更加平缓。由于不同位置的流体对涡轮叶片作用效果不同,实际流速中峰值在不同位置对涡轮产生的驱动效果可能会有很大差异,如图5(b)中所示的完全发展速度分布和均匀速度分布都很平缓,不能完全反映实际流动中不同位置的流场信息,计算的结果中自然也就将这些差异对涡轮响应可能产生的特殊贡献有所体现。
分别用3种速度分布作为涡轮入口速度分布求解流量计响应,与实际测得的响应进行对比,如图6(a)所示。从图中可以看出,采用完全发展的环形速度分布和均匀速度分布计算的涡轮响应值明显低于柴油计量表的真实响应。在涡轮正常响应时,在叶片中上部(即靠近管壁部分)的流体驱动涡轮转动,而在叶片底部(即靠近轮毂部分)的流体阻碍涡轮转动,因而流体分布越靠近管壁,带来的驱动力矩越大,使得叶轮的转速越快。从图5(b)中来看,真实速度分布更靠进管壁,应为理论求解结果转速偏低的原因。
分别计算各个响应在不同流量点处与真实响应的相对误差,结果如图6(b)所示。从图中可以明显看出,用PIV获得的速度分布计算的结果与实际响应的相对误差*小,在3%以内;用均匀入口速度分布计算的结果误差*大;用完全发展的环形通道速度分布当雷诺数超过2000时,由于计算模型假设由层流的速度分布直接转变为湍流的速度分布模型,未能合理地反映实际流动中逐步转变的过渡阶段,导致理论结果与实际速度分布有较大差异,所以误差较大。通过这些对比不难看出,获得真实的速度分布能更为准确地计算柴油计量表的实际响应。面对复杂的上游来流条件,PIV结果更能反映柴油计量表内部流动的主要特征,这也从另一个侧面表明,对柴油计量表内部复杂流动的精细测量和深入认识也将是完善相关理论和进一步优化其性能的重要途径。

5结论
本文通过PIV技术观测了柴油计量表入口轴向速度分布并代入TG模型进行计算。结果表明,PIV技术可以作为柴油计量表的入口速度的观测手段。PIV技术代入模型后计算所得的涡轮转速与实际较为吻合,而采用均匀速度入口或是充分发展的环空空间速度分布均与实际存在些许差异,代入模型后所得误差较大,也反映了不同的入口速度分布对流量计响应具有十分重要的影响。
由于柴油计量表入口速度分布受到多种因素的影响,难以完全依赖简单的理论计算,因而PIV技术可以有的放矢地用于柴油计量表的内流场观察,获得真实的流速分布信息,进而改进理论模型的计算和分析,在新一代柴油计量表的研制和完善相关理论中发挥重要的作用。

