产品目录
桃色在线视频
液体流量计
桃色成人在线视频
油流量计
桃色视频入口
椭圆齿轮流量计
电磁流量计
涡街流量计
蒸汽流量计
孔板流量计
旋进旋涡流量计
热式气体质量流量计
转子流量计
浮子流量计
靶式流量计
气体流量计
超声波流量计
磁翻板液位计
浮子液位计
浮球液位计
玻璃管液位计
雷达液位计
超声波液位计
投入式液位计
压力变送器
差压变送器
液位变送器
温度变送器
热电偶
热电阻
双金属温度计
推荐产品
联系桃色APP直播软件
- 金湖桃色APP直播软件仪表有限公司
- 联系电话:15195518515
- 在线客服:1464856260
- 电话:0517-86801009
- 传真号码:0517-86801007
- 邮箱:1464856260@qq.com
- 网址:http://www.hdl-enamel.com
- 地址:江苏省金湖县理士大道61号
常用流量计在煤层气井生产测井中应用分析
发布时间:2021-01-17 15:38:59 点击次数:2523次
摘要:煤层气生产测井正处于探索阶段,还没有成熟的测井仪器。本文分析了煤层气井生产测井条件及要求,对常用的涡轮流量计、电磁流量计、超声波流量计、放射性示踪流量计做了适用性分析。
1、煤层气井生产测井条件及要求
煤层气井生产测井仪器是从油管与套管的环形空间下人并进行测井的。煤层气的排采设备分为游梁式抽油机、倾斜式环形齿条抽油机、螺杆泵采油装置和电潜螺杆泵采油装置,其中应用*多的是游梁式抽油机。对于前两种排采设备只要安装了偏心井口就可以解决仪器下入问题。对于后两种排采设备改进后才能进行生产测井。
煤层气井油管下入深度有三种。*一种:油管在产层之上,这时煤层气和水都是向上运动的;*二种:油管下端在产层中部,这种情况下煤层气向上运动,筛管之上的水向下运动,筛管之下的水向上运动;*三种:油管下过了产层,这种情况下煤层气仍然向上运动,水则向下运动。
煤层气产水量一般为2~lOOm3/d,产气量一般为0~3000m3/d。按照相关要求,煤层气生产测井仪器水流量测量范围为5~100m3/d,测量精度为10%;气测量范围为50~50Om3/d,精度为15%。
2、现有流量计适用性分析
2.1 涡轮流量计
智能桃色视频入口利用涡轮转速的高低测量井内流体的速度。它分为集流式流量计和非集流式流量计。集流式流量计不能用于油管下过射孔层的井,这里不做讨论。
图1是哈里伯顿公司高灵敏度流量计静态响应曲线。从图1可以看出,该仪器在水中的启动速度为3.5ft/min,在气中的启动速度为50ft/min。哈里伯顿公司高灵敏度流量计在水中的测量精度为lft/min,由此得出该仪器在水中测量精度与启动速度的关系为1:3.5。据此估算,该仪器在气中的测量精度约为50/3.5=14ft/min。进而得到,此仪器在水中的测量精度与气中测量精度的比值约为1:14。

对于非集流式流量计,仪器直径越小,涡轮直径越小,涡轮启动排量越大,仪器测量精度越低。哈里伯顿公司高灵敏度流量计壳体直径为38mm,灯笼罩直径43mm,涡轮直径34ram。煤层气生产测井如果使用涡轮流量计只能选用直径25mm左右的仪器,其涡轮直径约为20mm。因此其精度远低于哈里伯顿公司高灵敏度流量计。吉尔哈特公司曾生产过直径25.4mm的仪器,它在水中的测量精度为2.6ft/min,在5—1/2英寸的套管中折合的产量精度为13.8m3/d。利用上面的方法估算,该仪器在气中的测量精度约为2.6×14=36.4ft/min,在5-1/2英寸的套管中折合的气产量精度为633m3/d。可以看出,该仪器对于水和气的测量精度均不能达到煤层气井测井的要求。
2.2 电磁流量计
假设X、Y、z为互相垂直的三个轴,当导电液体沿X方向流动时,在Y方向上加上磁场,导电液体中的正负离子受到洛仑兹力的作用,会在Z方向上产生相反的运动并形成感生电动势,感生电动势的大小与导电液体的流量成正比。这就是电磁流量计的测量原理。电磁流量计主要用于测量电导率大于10^-7s/m的单相流体,它不适用于气体和含有较大气泡液体的测量。这就否定了该仪器在煤层气井生产测井中的应用。
2.3 超声流量计
超声波在流体中传播时,将附带上流体流速的信息。顺流和逆流传播速度由于叠加了流体速度而不同,因此通过接收到的超声波信号,就可以计算出流体的速度或流量。生产测井采用的超声波流量计主要采用多普勒法和传播速度法。
2.3.1 多普勒法
多普勒法是利用声学多普勒原理确定流体速度。多普勒原理是若声源和目标之间有相对运动,会引起声波在频率上的变化,频率变化正比于运动的目标和静止的换能器之间的相对速度。图2是超声多普勒流量计示意图。发射晶体T1发射的超声波遇到流体中运动的颗粒或气泡反射回来由接收晶体R1接收,发射信号与接收信号的多普勒频率偏移与流体速度成正比。忽略管壁影响,假设流体没有速度梯度且粒子是均匀分布的,可得:

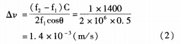
式中:v**体速度;f一晶体T1的发射频率;f2一晶体R1接收的频率;θ一超声波束与流体流向之间的夹角;C一声速。

假设发射晶体T1的发射频率f1为1MHz,θ角为6O°,频率差f1一f2的测量精度为1Hz,声波在水中的传播速度为1400m/s,则多普勒法在水中的速度测量精度为:

因此,从理论上推算多普勒法的测量精度完全可以满足煤层气井生产测井的要求。
以上讨论的是单相流体且流体做水平方向运动的情况。在煤层气生产测井中存在气、水两相流体,并且流体是沿井筒方向上下运动的,水和气存在滑脱。水中气泡反射回来的信号频率与气体的流速有关,这是主要的反射信号;水中颗粒反射回来的信号频率与水的流速有关。因此,气、水两相流体反射回来的信号至少是两种频率信号的叠加。如何从这一反射信号中分别得到气和水的流速是一个需要深入研究的问题。
2.3.2 传播速度法
超声波顺流传播时速度高,逆流传播时速度低,顺流与逆流的速度差与被测流体的速度有关,这就是传播速度法的依据。根据测量参数的不同,传播速度法可分为时差法、相位法和频差法。
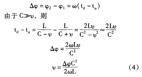
如图3所示。设两个换能器之间的距离为L,声波的传播速度为C,流体的速度为v,如果仪器静止,则声波向上传播的时间为

向下传播的时间为

上下两个换能器进行交替发射和测量得到

由于ta、td的测量较为复杂。因此也可以采用相位差法。向上传播的相位差ψ1=ωtu,向下传播的相位差ψ2=ωtd,则

因此通过测量相位差△ψ可以得到流体的速度v。
现在投入规模生产的超声波流量计多数采用相位差法,它主要用于注水井的测量。该仪器在油管中,水的启动排量2m3/d,测量范围2~1000m3/d,测量精度2.5%。按照截面积推算,该仪器在5—1/2英寸的套管中启动排量约为10m3/d,测量范围为10~200m3/d。如果经过特殊设计,超声波流量计启动排量还会降低。假设仅用于单相水的测量,超声波流量计应当可以满足煤层气测井的要求。然而,煤层气井生产测井属于气、水两相流测量,时差或相位差是水流速、气体流速、声波在水中传播速度、声波在气体中传播速度和气水比的函数。如何在这种复杂关系中求得水流速和气体流速,还需要做大量的研究和实验工作。
2.4 同位素示踪流量计
同位素示踪流量计由伽马仪器和示踪仪构成。示踪仪中装有同位素液体,测井时伽马与示踪仪需要组合下井。示踪仪中释放出的同位素随井中液体移动,当同位素到达伽马探头附近时,伽马仪器计数率增高。地面仪器记录同位素发射和同位素到达伽马探头的时间,结合同位素喷射孔到伽马探头之间的距离就可以计算出井中液体的流速。在5—1/2英寸套管中,示踪流量计对水流量的测量下限为2m3/d。在2—100m3/d的测量范围内,测量精度可以满足10%的要求。示踪仪中使用的同位素密度与水的密度接近,在煤层气井气水两相流状态下,气体对同位素的携带能力较差。因此,示踪流量计所测得的流速应当是水的流速,再结合持水率就可以得到产水量。当然,煤层气井中的气体对示踪剂会有搅拌作用,这会加快同位素的扩散,从而不利于示踪剂的测量。如果在同位素中加入增黏剂,会减缓同位素的扩散。
3、结论
通过以上分析,可知涡轮流量计测量精度不能满足煤层气生产测井的要求;电磁流量计不能适用于煤层气测井的条件;超声流量计测量精度和范围理论上能够用于煤层气生产测井,它可以用于单相气或水流量的测量,对于气、水两相流则需要做大量的试验和研究工作;同位素示踪流量计可以用于单相水的测量。
上一篇:宽量程桃色视频入口的工作原理及设计思想下一篇:涡轮流量计的组成及产品优势

