产品目录
桃色在线视频
液体流量计
桃色成人在线视频
油流量计
桃色视频入口
椭圆齿轮流量计
电磁流量计
涡街流量计
蒸汽流量计
孔板流量计
旋进旋涡流量计
热式气体质量流量计
转子流量计
浮子流量计
靶式流量计
气体流量计
超声波流量计
磁翻板液位计
浮子液位计
浮球液位计
玻璃管液位计
雷达液位计
超声波液位计
投入式液位计
压力变送器
差压变送器
液位变送器
温度变送器
热电偶
热电阻
双金属温度计
推荐产品
联系桃色APP直播软件
- 金湖桃色APP直播软件仪表有限公司
- 联系电话:15195518515
- 在线客服:1464856260
- 电话:0517-86801009
- 传真号码:0517-86801007
- 邮箱:1464856260@qq.com
- 网址:http://www.hdl-enamel.com
- 地址:江苏省金湖县理士大道61号
关于智能涡轮流量计厂家的结构测量原理与信号检测
发布时间:2020-12-22 09:11:06 点击次数:1604次
摘要:航空燃油质量流量是飞机燃油油量控制系统中的重要参数之一,航空燃油质量流量的精准、稳定测量,对飞机的燃油油量的判断有着重要的意义。目前航空燃油质量流量测量多采用间接式智能涡轮流量计厂家,间接式智能涡轮流量计厂家易受环境变化影响,存在精度低、稳定性差、测量参数多等缺点。基于此,设计和开发一种新型的具有高精度、高抗干扰、性能稳定并适用于航空领域的智能涡轮流量计厂家有着重要的意义。
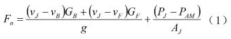
燃油流量检测是飞机发动机的重要需求之一。燃油流量检测能够为飞行员提供进入发动机的燃油累计消耗量和瞬时消耗量的准确信息;监控飞机发动机工作状态(加力、巡航、小推力);对发动机供油情况(输油管路、供油泵、阀等)故障检测;为发动机控制(电调)系统提供控制参数,辅助发动机控制;同时降低油耗,提升环保,提高经济性。以我国目前开展的发动机研究工作为例,发动机的*关键参数之一就是净推力,而净推力的方程如式(1)。

式中:GF 为进入发动机的燃油流量。
由此可见,燃油流量检测参数是飞机发动机控制的关键参数之一。燃油流量检测的精度与可靠性,直接关系到飞机发动机控制系统的控制精度与可靠性,进而关系到整个飞机的飞行安全。随着燃油流量仿真、材料科学和工艺技术的不断发展,飞机需求不断提高,研制新一代高精度、高可靠性的机载燃油质量流量流量计,对于提高整个飞机的技战术指标,满足飞机(发动机)的需求,有着十分重要的意义。
机载燃油流量测量的发展经历了体积流量测量、间接式质量流量测量和直接式流量测量三个阶段。*一阶段体积流量测量。体积流量测量因测量精度低(一般在2% 左右),逐渐趋于淘汰。*二阶段间接式质量流量测量。间接式质量流量测量有推导式、温度 - 压力补偿式等。例如俄罗斯的 д30 发动机采用了推导式测量方法,即容积流量 - 密度计组合式流量测量获得质量流量,该测量方式设备体积大、重量重、精度低、可靠性较低。*三阶段直接式流量测量。欧美等先进**早在 20 世 纪 70、80 年代就成功研制出直接式智能涡轮流量计厂家,主要是动量矩式。动量矩式流量计是根据牛顿*二定律的原理制作的。从力学角度来说,质量是物体惯性的量度。物体受外力作用,运动状态发生变化,其变化量的大小与质量有关。测量运动状态对时间的变化率,即可测得质量流量。动量矩式流量计利用流体动量矩的变化反映质量流量,其典型结构是在仪表壳内有一个主动轮和一个从动轮,分别装在两短轴上。动量矩式流量计有两种形式,一种是采用电动机以恒定角速度 ω 驱动主动轮,需要外能源。例如斯贝发动机安装的智能涡轮流量计厂家。另一种是采用簧片控制燃油通量,从而控制主动轮与从动轮的转速,此种质量流量控制方法采用流体自身能量控制主动轮与从动轮恒速。其主要原理是测量部件由两个用涡圈弹簧连接的涡轮(主动轮与从动轮)构成,涡轮受流体本身的流动能量冲击而旋转,两涡轮叶片旋转倾角不同而造成的力矩差由连接的涡圈弹簧平衡,使两涡轮间形成扭角。扭角的大小反映质量流量的大小。测量扭角造成的信号时间差,即可测得质量流量。直接式质量流量流量计精度高(一般在 0.5% 左右,且不受温度和燃油品质变化的影响)、体积小、重量轻、可靠性高,因此广泛地应用于波音、空客以及新一代战斗机上。
我国机载燃油流量测量主要是体积式流量测量,所采用的间接式质量流量测量,仅是测仿俄罗斯 д30 发动机的容积流量 - 密度计组合式智能涡轮流量计厂家。至今,直接式流量测量刚开始起步(资料收集、方案论证阶段),且未应用在任何国产飞机(发动机)上。
1 智能涡轮流量计厂家结构及测量工作原理
智能涡轮流量计厂家主要由机械组合件、壳体组合件、出口壳体组合件及外壳组合件等组成。
机械组合件沿壳体组合件的中心轴安装,把流经智能涡轮流量计厂家的燃油质量流量转换成在其上旋转的两个磁铁间的角度偏移量 φ。磁铁转过智能涡轮流量计厂家壳体组合件上的两感应线圈时,感应线圈产生并输出脉冲信号。两个脉冲之间存在一个时间差 △t,差值与两个磁铁间角度偏移量和质量流率成正比例关系。
1.1 工作原理
燃油从壳体组合件的入口端流入,流过壳体组合件上的整流体时,整流体对燃油进行整流,使流量相对平稳而不紊乱。随后,燃油再流过机械组合件。在机械组合件的出口端,旋形帽的螺旋槽将流过的燃油改变流动方向,方向与涡轮的叶片形成一定的夹角 θ。当燃油流过涡轮时,使涡轮获得一个角动量开始旋转,从而使机械组合件活动部件随着旋转。
1.2 燃油流速的测量
为了推导涡轮转速和燃油质量流率的关系,可先将涡轮展开,涡轮带箭头的斜线表示燃油流向。如果涡轮固定不动,流体流过叶片时将受到阻力,则当燃油离开涡轮的叶片时,将产生一个切向速度 V。

式中: v为流入流量计的燃油流速平均值;θ为涡轮叶片与燃油之间的夹角。
假设涡轮负载为零,这时的切向速度就是涡轮的切向速度。在这种情况下,燃油中某一油分子由 a 点流到b 点,涡轮正好转过一个叶片。因此,燃油经过涡轮时部被扭曲,满油能量损失,涡轮的理论旋转角速度公式:

式中:r 为涡轮叶片的平均半径。
从以上可以看出,涡轮将燃油流速转换为涡轮的转速,当流入智能涡轮流量计厂家的燃油流率一定,则涡轮的转速n 恒定不变。
1.3 转速的控制
支柱组合件的厚簧片和薄簧片随燃油流量的增加或减少而张开或闭合。小流率时,厚簧片和薄簧片处于闭合状态,所以多数流量由旋形帽的螺旋槽导流。流率小时,流率增加会使涡轮转速快速增加。大流率时,厚簧片和薄簧片张开,不接触旋形帽表面,部分流量不受螺旋形槽的影响。
1.4 质量流量与叶轮偏转角的换算
假设涡轮固定不动,燃油流过涡轮的叶片时将受到阻力,则当燃油离开涡轮的叶片时,将产生一个切向动量 mv,这个动量即为涡轮获得冲量 。

式中:I 为涡圈弹簧材料截面惯性矩;φ 为涡圈弹簧变形角;T '为作用在涡圈弹簧上的力矩;l 为涡圈弹簧工作圈展开长度;E 为涡圈弹簧材料弹性模量。
2 信号采集
燃油入口端,轴组合件的轴肩上安装了一个起始磁铁。涡轮旋转带动轴组合件一起旋转,当起始磁铁每次经过起始线圈组合件时,起始线圈组合件将产生一个起始脉冲信号。燃油出口端,叶轮组合件的叶轮罩安装了一个终止磁铁。轴组合件通过涡圈弹簧带动叶轮组合件旋转,当终止磁铁经过终止线圈组合件时,终止线圈组合件将产生一个终止脉冲信号。根据涡圈弹簧的工作原理,在力矩 T '的作用下,涡圈弹簧的角偏移量 φ 即为起始磁铁与终止磁铁之间的角偏移量。当涡轮以角速度ω旋转时,起始脉冲信号与终止脉冲信号之间的时间差△ t:

从式(15)中可以得出,当涡圈弹簧材料和形状确定和涡轮外形尺寸确定的情况下,时间差△ t 与通过的燃油质量 m 成正比例关系,则测量起始脉冲信号与终止脉冲信号的时间差△ t,即可得出通过流量计的燃油质量 m。
3 信号检测
将智能涡轮流量计厂家流量与相关测试设备连接起来,就可以进行智能涡轮流量计厂家的校准,时间差△ t 由专用试验测试设备可以测出。起始脉冲信号和终止脉冲信号如图 1 所示。经过专用试验测试设备信号转化后的信号方波如图 2 所示。

4 结束语
文章介绍了智能涡轮流量计厂家的测量原理及组成,分析了智能涡轮流量计厂家的工作过程,重点讨论了工作原理和信号采集原理。智能涡轮流量计厂家抗外界干扰能力强,测量精度高、易实现实时测量,可满足航空飞行复杂环境的需求。
燃油流量检测是飞机发动机的重要需求之一。燃油流量检测能够为飞行员提供进入发动机的燃油累计消耗量和瞬时消耗量的准确信息;监控飞机发动机工作状态(加力、巡航、小推力);对发动机供油情况(输油管路、供油泵、阀等)故障检测;为发动机控制(电调)系统提供控制参数,辅助发动机控制;同时降低油耗,提升环保,提高经济性。以我国目前开展的发动机研究工作为例,发动机的*关键参数之一就是净推力,而净推力的方程如式(1)。

式中:GF 为进入发动机的燃油流量。
由此可见,燃油流量检测参数是飞机发动机控制的关键参数之一。燃油流量检测的精度与可靠性,直接关系到飞机发动机控制系统的控制精度与可靠性,进而关系到整个飞机的飞行安全。随着燃油流量仿真、材料科学和工艺技术的不断发展,飞机需求不断提高,研制新一代高精度、高可靠性的机载燃油质量流量流量计,对于提高整个飞机的技战术指标,满足飞机(发动机)的需求,有着十分重要的意义。
机载燃油流量测量的发展经历了体积流量测量、间接式质量流量测量和直接式流量测量三个阶段。*一阶段体积流量测量。体积流量测量因测量精度低(一般在2% 左右),逐渐趋于淘汰。*二阶段间接式质量流量测量。间接式质量流量测量有推导式、温度 - 压力补偿式等。例如俄罗斯的 д30 发动机采用了推导式测量方法,即容积流量 - 密度计组合式流量测量获得质量流量,该测量方式设备体积大、重量重、精度低、可靠性较低。*三阶段直接式流量测量。欧美等先进**早在 20 世 纪 70、80 年代就成功研制出直接式智能涡轮流量计厂家,主要是动量矩式。动量矩式流量计是根据牛顿*二定律的原理制作的。从力学角度来说,质量是物体惯性的量度。物体受外力作用,运动状态发生变化,其变化量的大小与质量有关。测量运动状态对时间的变化率,即可测得质量流量。动量矩式流量计利用流体动量矩的变化反映质量流量,其典型结构是在仪表壳内有一个主动轮和一个从动轮,分别装在两短轴上。动量矩式流量计有两种形式,一种是采用电动机以恒定角速度 ω 驱动主动轮,需要外能源。例如斯贝发动机安装的智能涡轮流量计厂家。另一种是采用簧片控制燃油通量,从而控制主动轮与从动轮的转速,此种质量流量控制方法采用流体自身能量控制主动轮与从动轮恒速。其主要原理是测量部件由两个用涡圈弹簧连接的涡轮(主动轮与从动轮)构成,涡轮受流体本身的流动能量冲击而旋转,两涡轮叶片旋转倾角不同而造成的力矩差由连接的涡圈弹簧平衡,使两涡轮间形成扭角。扭角的大小反映质量流量的大小。测量扭角造成的信号时间差,即可测得质量流量。直接式质量流量流量计精度高(一般在 0.5% 左右,且不受温度和燃油品质变化的影响)、体积小、重量轻、可靠性高,因此广泛地应用于波音、空客以及新一代战斗机上。
我国机载燃油流量测量主要是体积式流量测量,所采用的间接式质量流量测量,仅是测仿俄罗斯 д30 发动机的容积流量 - 密度计组合式智能涡轮流量计厂家。至今,直接式流量测量刚开始起步(资料收集、方案论证阶段),且未应用在任何国产飞机(发动机)上。
1 智能涡轮流量计厂家结构及测量工作原理
智能涡轮流量计厂家主要由机械组合件、壳体组合件、出口壳体组合件及外壳组合件等组成。
机械组合件沿壳体组合件的中心轴安装,把流经智能涡轮流量计厂家的燃油质量流量转换成在其上旋转的两个磁铁间的角度偏移量 φ。磁铁转过智能涡轮流量计厂家壳体组合件上的两感应线圈时,感应线圈产生并输出脉冲信号。两个脉冲之间存在一个时间差 △t,差值与两个磁铁间角度偏移量和质量流率成正比例关系。
1.1 工作原理
燃油从壳体组合件的入口端流入,流过壳体组合件上的整流体时,整流体对燃油进行整流,使流量相对平稳而不紊乱。随后,燃油再流过机械组合件。在机械组合件的出口端,旋形帽的螺旋槽将流过的燃油改变流动方向,方向与涡轮的叶片形成一定的夹角 θ。当燃油流过涡轮时,使涡轮获得一个角动量开始旋转,从而使机械组合件活动部件随着旋转。
1.2 燃油流速的测量
为了推导涡轮转速和燃油质量流率的关系,可先将涡轮展开,涡轮带箭头的斜线表示燃油流向。如果涡轮固定不动,流体流过叶片时将受到阻力,则当燃油离开涡轮的叶片时,将产生一个切向速度 V。

式中: v为流入流量计的燃油流速平均值;θ为涡轮叶片与燃油之间的夹角。
假设涡轮负载为零,这时的切向速度就是涡轮的切向速度。在这种情况下,燃油中某一油分子由 a 点流到b 点,涡轮正好转过一个叶片。因此,燃油经过涡轮时部被扭曲,满油能量损失,涡轮的理论旋转角速度公式:

式中:r 为涡轮叶片的平均半径。
从以上可以看出,涡轮将燃油流速转换为涡轮的转速,当流入智能涡轮流量计厂家的燃油流率一定,则涡轮的转速n 恒定不变。
1.3 转速的控制
支柱组合件的厚簧片和薄簧片随燃油流量的增加或减少而张开或闭合。小流率时,厚簧片和薄簧片处于闭合状态,所以多数流量由旋形帽的螺旋槽导流。流率小时,流率增加会使涡轮转速快速增加。大流率时,厚簧片和薄簧片张开,不接触旋形帽表面,部分流量不受螺旋形槽的影响。
1.4 质量流量与叶轮偏转角的换算
假设涡轮固定不动,燃油流过涡轮的叶片时将受到阻力,则当燃油离开涡轮的叶片时,将产生一个切向动量 mv,这个动量即为涡轮获得冲量 。

式中:I 为涡圈弹簧材料截面惯性矩;φ 为涡圈弹簧变形角;T '为作用在涡圈弹簧上的力矩;l 为涡圈弹簧工作圈展开长度;E 为涡圈弹簧材料弹性模量。
2 信号采集
燃油入口端,轴组合件的轴肩上安装了一个起始磁铁。涡轮旋转带动轴组合件一起旋转,当起始磁铁每次经过起始线圈组合件时,起始线圈组合件将产生一个起始脉冲信号。燃油出口端,叶轮组合件的叶轮罩安装了一个终止磁铁。轴组合件通过涡圈弹簧带动叶轮组合件旋转,当终止磁铁经过终止线圈组合件时,终止线圈组合件将产生一个终止脉冲信号。根据涡圈弹簧的工作原理,在力矩 T '的作用下,涡圈弹簧的角偏移量 φ 即为起始磁铁与终止磁铁之间的角偏移量。当涡轮以角速度ω旋转时,起始脉冲信号与终止脉冲信号之间的时间差△ t:

从式(15)中可以得出,当涡圈弹簧材料和形状确定和涡轮外形尺寸确定的情况下,时间差△ t 与通过的燃油质量 m 成正比例关系,则测量起始脉冲信号与终止脉冲信号的时间差△ t,即可得出通过流量计的燃油质量 m。
3 信号检测
将智能涡轮流量计厂家流量与相关测试设备连接起来,就可以进行智能涡轮流量计厂家的校准,时间差△ t 由专用试验测试设备可以测出。起始脉冲信号和终止脉冲信号如图 1 所示。经过专用试验测试设备信号转化后的信号方波如图 2 所示。

4 结束语
文章介绍了智能涡轮流量计厂家的测量原理及组成,分析了智能涡轮流量计厂家的工作过程,重点讨论了工作原理和信号采集原理。智能涡轮流量计厂家抗外界干扰能力强,测量精度高、易实现实时测量,可满足航空飞行复杂环境的需求。
相关资讯
- 智能型涡轮流量计在安装时需要的注意事项及现场布线要求
- 智能型涡轮流量计常见的四类故障与技巧解决方法
- 关于智能型涡轮流量计接线方式与操作方式及接线方式
- 智能涡轮流量计说明书
- 智能涡轮流量计不显示流量
- 智能涡轮流量计安装要求
- 智能型桃色在线视频的基本原理与结构应用
- 智能涡轮流量计常见故障及排除
- 智能涡轮流量计怎么调试
- 智能涡轮流量计尺寸
- 智能涡轮流量计量程范围
- 智能涡轮流量计使用方法
- 智能型涡轮流量计的结构原理
- 一种基于HART总线的智能涡轮流量计分析介绍
- 智能型涡轮流量计在航空煤油流量检定的选型及直管段长度确定
- 液体智能涡轮流量计价格,脉冲涡轮流量计
- 智能涡轮流量计价格
- 智能桃色在线视频,桃色在线视频厂家价格
- 智能桃色在线视频的传感器保养措施及内部部件的维护
- 关于智能涡轮流量计的选型要求与标准
- 智能型涡轮流量计
- 智能型桃色在线视频
- 液体智能涡轮流量计
- 智能桃色在线视频
- 智能涡轮流量计厂家,数显涡轮流量计
- 智能桃色在线视频,脉冲输出涡轮流量计
- 智能型涡轮流量计,高温涡轮流量计
- 智能型桃色在线视频,桃色在线视频价格
- 智能涡轮流量计厂家,脉冲输出涡轮流量计
- 智能涡轮流量计厂家,分体式涡轮流量计

