产品目录
桃色在线视频
液体流量计
桃色成人在线视频
油流量计
桃色视频入口
椭圆齿轮流量计
电磁流量计
涡街流量计
蒸汽流量计
孔板流量计
旋进旋涡流量计
热式气体质量流量计
转子流量计
浮子流量计
靶式流量计
气体流量计
超声波流量计
磁翻板液位计
浮子液位计
浮球液位计
玻璃管液位计
雷达液位计
超声波液位计
投入式液位计
压力变送器
差压变送器
液位变送器
温度变送器
热电偶
热电阻
双金属温度计
推荐产品
联系桃色APP直播软件
- 金湖桃色APP直播软件仪表有限公司
- 联系电话:15195518515
- 在线客服:1464856260
- 电话:0517-86801009
- 传真号码:0517-86801007
- 邮箱:1464856260@qq.com
- 网址:http://www.hdl-enamel.com
- 地址:江苏省金湖县理士大道61号
桃色在线视频误差评定方法之探讨
发布时间:2021-03-10 03:25:29 点击次数:3006次
摘要:以系列的实验数据和数学模型为依据,对桃色在线视频(以下简称流量计)误差评定的方法做出具体地运算、分析,并阐述观点,得出结果;为技术人员合理选择流量计的误差评定方法提供较全面的理论论证和技术支持;
流量计量的主要内容之一就是研究不同流体在不同条件下的流量测量方法,并提供相应的测量仪表。所以研究测量方法需对误差进行评定,选择测量仪表需关注质量指标,而误差、准确度等级等又是仪表主要的质量指标。基于以上因素,以流量计为对象,用实测数据对其误差评定结果做出具体分析、论证,以探讨误差评定工作的具体方法和选择合理的方法。
1、简述相关名词、术语定义
①法兰夹装式桃色在线视频:涡轮流量计是一种流量测量仪表,流动流体的动力驱使涡轮叶片旋转,其旋转速度与体积流量近似成比例(线性关系)。信号输出方式包括脉冲、模拟量或数字通信方式。结构原理见图1。
②k系数:单位体积的流体流过流量计时流量计发出的脉冲数。单位为(m³)-1或L-1;使用仪表K系数计算流量计示值误差为A类,使用累计流量计算流量计示值误差为B类;
③*大允许误差:对给定的测量仪器、规范、规程等所允许的误差*限值。
④引用误差:测量仪器的误差除以仪器的特定值(注:该特定值一般称为引用值。例如:可以是测量仪器的量程或标称范围的上限)。
⑤*小二乘法:就是在精确度相等的许多测量值中求得*优概值(*佳值、*可信赖值)的方法,这时各测量值残差的平方和应为*小。

2、流量计的数学模型
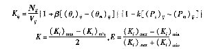
2.1 使用仪表系数k计算示值误差的公式

式中,Ky为*i检定点*j次检定的系数,((m³)-1或L-1);Ny为*i检定点*j次检定时流量计显示仪表测的脉冲数;Vy为*i检定点*j次检定是标准装置测的的实际体积(m³或L);β为检定用液体在检定状态下的体积膨胀系数;(θ,)y、(θm)y为*i检定点*j次检定时标准装置和流量计处的液体密度;k为检定用液体在检定状态下的压缩系数;(Ps)y、(Pm)y为*i检定点*j次检定时标准装置和流量计处的液体表压力,(Pa)。
2.2 使用累计流量计算示值误差的公式

式中,Ey为*i检定点*j次检定的相对示值误差,(%);Vy为*i检定点*j次检定是标准装置测的的实际体积(m³或L);(Va)y为*i检定点*j次检定时标准器换算到流量计处状态的累计流量值(m³)。
*i检定点被检流量计的相对是指误差按

2.3 使用a、b值数据拟合计算引用误差的公式
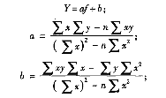
设流量计频率f(Hz)为X,流量Q(L/s)为Y,即:

式中,n为测量点次数;Σx为x的代数和(*1点加至n点);Σy为y的代数和;(Σx)²为每点和平方(1点加至n点)²;Σxy为每点fx乘Qy之和;Σx²为fx每点平方和(n²加n²加至n²);
将计算出的、值代入公式Y=af+b中,和每个点相乘求出(理论值);再算出每个流量点实际值与理论值之差值;找出*大的值除以其流量上限,即引用误差E=Q(理论值)-Q(实际值)/Q(*大)。
3、实验数据、数据处理及分析
3.1 流量计相关技术信息说明
选用金湖桃色APP直播软件仪表有限公司的型号为KCLL-H10、编号为1037060的流量计。
3.2 流量计试验及数据处理一览表
数据说明:为了更直观地探讨流量计在合理选择误差评定的方法以及由此涉及仪表计量特性等具体因素的影响,故在表1和表2中均分别以航空RP-3号喷气燃油(低黏度)、航空10号液压油(中黏度)为检定介质在相同的量程下检定分别出2组数据;表1中误差评定的计算公式来自JJG1037-2008《涡轮流量计检定规程》(以下简称规程)中(1)~(4),得出示值误差(线性度);表2中误差评定的计算来自*小二乘法运算公式算出值进行数据拟合求出理论值,*后得出仪表的引用误差。此计算公式来自为《规程》以外的误差评定方法。


3.3 流量计实验数据的分析探讨
从表1数据中可以很直观地看出;两种检定介质检出的仪表示值误差相差非常大,用燃油为检定介质的数据仪表示值误差为0.65%,而用液压油为检定检定介质的仪表示值误差为13%,这时因为流量计工作时涡轮旋转力矩是与被测流体的密度ρ成正比,被测流量密度发生变化将会直接影响到作用在涡轮上的转动力矩成比例的增减,所以当被测液体黏度大于15×10-6m²/s时,测量(示值)误差就明显增大,故流体黏度对流量计特性影响*大。这也就印证了速度式流量计只适合低黏度介质测量工作。一般来说,流量计的口径越大,黏度变化对流量计线性影响越小,反之,口径越小则影响就越大。
从表2数据中也可很直观地看出:数据采用*小二乘法为流量计误差评定的方法,通过计算求得两组a、b值,进行数据拟合,并得出相应的仪表引用误差(计算公式取自2.3节);其中以燃油为检定介质的仪表引用误差为0.13%,液压油为检定检定介质的仪表引用误差为0.37%,流量计的精度等级有了明显的提高。
通过对表1、表2两组数据的分析探讨,由此可以得出结论:无论此台流量计的使用介质是燃油(低黏度)还是液压油(中黏度),*小二乘法的误差评定方法都是此台流量计*佳(合理)的评定和使用方法。此外此种评定方法还弥补了流量计自身计量特性的不足,有效地实现了速度式流量计对中黏度介质的流量测量工作。
4、结束语
作为专业计量站的检定人员,量值传递是主要工作,除此之外还有责任和义务要充分地运动好标准装置等硬件设施,更好地提升实验数据的使用和学术价值。通过以流量计的实验数据为具体实例,对其在不同介质或相同介质的测量条件下,如何合理地运用、选择误差评定的方法等方面做出了较详实地论述,并提出了有依据的观点,实际工作中作参考。
相关资讯
- 桃色在线视频使用常见问题
- 桃色在线视频的使用场合
- 桃色在线视频怎么接电
- 桃色在线视频设置方法
- 桃色在线视频类型有哪些
- 桃色在线视频适用粘度
- 桃色在线视频的用途
- 桃色在线视频直管段安装位置要求
- 桃色在线视频有什么作用
- 桃色在线视频有显示不计数
- 桃色在线视频显示零什么故障
- 桃色在线视频总数怎么归零
- 桃色在线视频的接线方法
- 桃色在线视频量程范围
- 桃色在线视频如何调参数
- 桃色在线视频技术要求
- 桃色在线视频测量不准确及解决办法
- 桃色在线视频规格型号
- 桃色在线视频精度等级
- 桃色在线视频的应用范围
- 远传涡轮流量计接线图
- 液体dn50涡轮流量计使用注意点
- 智能桃色在线视频不走数
- 液体智能涡轮流量计安装
- dn50桃色在线视频在投产前及投产后应该注意的要求
- 低温桃色在线视频安装要求
- lwgy桃色在线视频参数设置
- 桃色在线视频常见故障及处理方法
- 桃色在线视频能区分气体和液体吗
- 液体和桃色视频入口的区别

